• 棠艾松® 倍他米松磷酸钠注射液

    ★★代理品种★★

    【通用名】倍他米松磷酸钠注射液

    【商标名】 棠艾松

    包装规格 1m1:5.26mg(相当于倍他米松4mg) ,每盒6支、每盒10支

    【生产企业】 遂成药业股份有限公司

    【公司主页】http://www.hemphcativa.com


    【产品优势】

    1、全新一代糖皮质激素

    2、抗炎效果最强

    3、等效剂量最小

    4、安全性更高

  • 【说明书】

    核准日期:2007年05月18日

    修改日期:2010年10月01日

    修改日期:2014年10月15日

    修改日期:2015年12月01日

    修改日期:2016年06月29日

    修改日期:2018年08月20日

     

    倍他米松磷酸钠注射液说明书

    请仔细阅读说明书并在医师指导下使用

     【药品名称】

    通用名称:倍他米松磷酸钠注射液

    英文名称: Betamethasone Sodium Phosphate Injection

     汉语拼音: Beitamisong Linsuanna Zhusheye

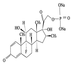
    【成份】本品主要成份为:倍他米松磷酸钠,其化学名称为:16β-甲基-11β17a,21-三羟基-9a-氟孕甾-1,4-二烯-3,20-二酮-21-磷酸二钠盐

    化学结构式

    分子式: C22H28FNA2O8P

    分子量:516.41

    辅料为:亚硫酸氢钠、5%氢氧化钠溶液、丙二醇、注射用水。

    【性状】本品为无色的澄明液体。

    【适应症】主要用于过敏性与自身免疫性炎症性疾病。现多用于活动性风湿病、类风湿性关节炎、红斑狼疮、严重支气管哮喘、严重皮炎、急性白血病等,也用于某些感染的综合治疗。

    【规格】1m1:5.26mg(相当于倍他米松4mg)

    【用法用量】肌注或静脉注射:一日2~20mg(0.38~3.8支)分次给药

    【不良反应】糖皮质激素在应用生理剂量替代治疗时无明显不良反应,不良反应多发生在应用药理剂量时,而且与疗程、剂量、用药种类、用法及给药途径等有密切关系。常见不良反应有以下几类。(1)长程使用可引起以下副作用。医源性库欣综合征面容和体态、体重增加、下肢浮肿、紫纹、易出血倾向、创口愈合不良、痤疮、月经紊乱、肱或股骨头缺血性坏死、骨质疏松及骨折(包括脊椎压缩性骨折、长骨病理性骨折)、肌无力、肌萎缩、低血钾综合征、胃肠道刺激(恶心、呕吐)、胰腺炎、消化性溃疡或穿孔,儿童生长受到抑制、青光眼、白内障、良性颅内压升高综合征、糖耐量减退和糖尿病加重。(2)患者可出现精神症状:欣快感、激动、谵妄、不安、定向力障碍,也可表现为抑制。精神症状由易发生与患慢性消耗性疾病的人及以往有过精神不正常者。(3)并发感染为肾上腺皮质激素的主要不良反应。以真菌、结核菌、葡萄球菌、变形杆菌、铜绿假单胞菌和各种疱疹病毒为主。(4)糖皮质激素停药综合征。有时患者在停药后出现头晕、昏厥倾向、腹痛或背痛、低热、食欲减退、恶心、呕吐、肌肉或关节疼痛、头疼、乏力、软弱,经仔细检查如能排除肾上腺皮质功能减退和原来疾病的复燃,则可考虑为对糖皮质激素的依赖综合征。

    【禁忌】对本品及其它甾体激素过敏者禁用。下列疾病患者一般不宜使用,特殊情况应权衡利弊使用,但应注意病情恶化可能,严重的精神病(过去或现在)和癫痫,活动性消化性溃疡病,新近胃肠吻合手术,骨折,创伤修复期,角膜溃疡,肾上腺皮质机能亢进症,高血压,糖尿病,孕妇,抗菌药物不能控制的感染如水痘、麻疹、霉菌感染、较重的骨质疏松症等。

    【注意事项】(1)诱发感染。在激素作用下,原来已被控制的感染可活动起来,最常见者为结核感染复发。在某些感染时应用激素可减轻组织的破坏、减少渗出、减轻感染中毒症状,但必须同时用有效的抗生素治疗、密切观察病情变化在短期用药后,即应迅速减量、停药。(2)诊断的干扰①糖皮质激素可使血糖、血胆固醇和血脂肪酸、血钠水平升高、使血钙、血钾下降:②对外周血象的影响为淋巴细胞、真核细胞及嗜酸、嗜碱细胞数下降,多核白细胞和血小板增加,后者也可下降;③长期大剂量服用糖皮质激素可使皮肤试验结果呈假阴性,如结核菌素试验、组织胞浆菌素试验和过敏反应皮试等:④还可使甲状腺"1摄取率下降,减弱促甲状腺激素(TSH对TSH释放素(TRH)刺激的反应,使TRH兴奋实验结果呈假阳性。干扰促黄体生成素释放素(LHRH兴奋试验的结果;⑤使同位素脑和骨显象减弱或稀疏。(3)下列情况应慎用。心脏病或急性心力衰竭、糖尿病、憩室炎、情绪不稳定和有精神病倾向、全身性真菌感染、青光眼、肝功能损害、眼单纯性疱疹、高脂蛋白血症、高血压、甲减(此时糖皮质激素作用增强重症肌无力、骨质疏松、胃溃疡、胃炎或食管炎、肾功能损害或结石、结核病等。(4)随访检查。长期应用糖皮质激素者,应定期检查以下项目。①血糖、尿糖或糖耐量试验,尤其是糖尿病或糖尿病倾向者:②小儿应定期检测生长和发育情况;③眼科检查,注意白内障、青光眼或眼部感染的发生;④血清电解质和大便隐血:;⑤高血压和骨质疏松的检查,尤以老年人为然。(5)运动员慎用。

    【孕妇及哺乳期妇女用药】(1)妊娠期用药。糖皮质激素可通过胎盘。动物实验研究证实孕期给药可增加胚胎腭裂,胎盘功能不全、自发性流产和子宫内生长发育迟缓的发生率。人类使用药理剂量的糖皮质激素可增加胎盘功能不全、新生儿体重减少或死胎的发生率。(2)哺乳期用药。由于糖皮质激素可由乳汁中排泄,对婴儿造成不良影响,如生长受抑制、肾上腺皮质功能抑制等。孕妇及哺乳期妇女在权衡利弊情况下,尽可能避免使用。

    【儿童用药】小儿如长期使用肾上腺皮质激素,须十分慎重。

    【老年用药】老年患者用糖皮质激素易发生高血压及糖尿病。老年患者尤其是更年期后的女性应用糖皮质激素易加重骨质疏松。

    【药物相互作用】(1)非甾体消炎镇痛药可加强其致溃疡作用。2)可增强对乙酰氨基酚的肝毒性。(3)与两性霉素B或碳酸酐酶抑制剂合用,可加重低钾血症,长期与碳酸酐酶抑制剂合用,易发生低血钙和骨质疏松。(4)与蛋白质同化激素合用,可增加水肿的发生率,使痤疮加重。(5)与抗胆碱能药(如阿托品)长期合用,可致眼压增高。(6)三环类抗抑郁药可使其引起的精神症状加重。(7)与降糖药如胰岛素合用时,因可使糖尿病患者血糖升高,应适当调整降糖药剂量。(8)甲状腺激素可使其代谢清除率增加,故甲状腺激素或抗甲状腺药与其合用,应适当调整后者的剂量。(9)与避孕药或雌激素制剂合用,可加强其治疗作用和不良反应(10)与强心苷合用,可增加洋地黄毒性及心律失常的发生。(11)与排钾利尿药合用,可致严重低血钾,并由于水钠潴留而减弱利尿药的排钠利尿效应。(12)与麻黄碱合用,可增强其代谢清除。(13)与免疫抑制剂合用,可增加感染的危险性,并可能诱发淋巴瘤或其他淋巴细胞增生性疾病。(14)可增加异烟肼在肝脏代谢和排泄,降低异烟肼的血药浓度和疗效。(15)可促进美西律在体内代谢,降低血药浓度。(16)与水杨酸盐合用,可减少血浆水杨酸盐的浓度。(17)与生长激素合用,可抑制后者的促生长作用。

    【药物过量】可引起类肾上腺皮质功能亢进综合症。

    【药理毒理】肾上腺皮质激素类药物。具有抗炎、抗过敏和抑制免疫等多种药理作用。(1)抗炎作用。糖皮质激素减轻和防止组织对炎症的反应,从而减轻炎症的表现。(2)免疫抑制作用。防止或抑制细胞中介的免疫反应,延迟性的过敏反应,并减轻原发免疫反应的扩展。(3)抗毒、抗休克作用。糖皮质激素能对抗细菌内毒素对机体的刺激反应,减轻细胞损伤,发挥保护机体的作用。

    【药代动力学】肌注倍他米松磷酸钠于1小时血药浓度达峰值。本品血浆蛋白结合率较其他皮质激素类药物为低。

    【贮藏】遮光,密闭保存

    【包装】(1)低硼硅玻璃安瓿,每盒6支。(2)低硼硅玻璃安瓿每盒10支。

    【有效期】24个月

    【执行标准】中国药典2015年版二部

    【批准文号】国药准字H20064917

    【生产企业】

    企业名称:遂成药业股份有限公司(原天津药业集团新郑股份有限公司)

    生产地址:河南省新郑市人民东路

    邮政编码:451150

    电话号码:0371-62692832

    传真号码:0371-62691254

     

    其他规格同上

     

     

    更多产品

    意向合作

    ×
    • 合作产品

    • *姓名

      *公司

    • *手机

      *邮箱

    • 区域

    • *详细地址

    • *内容

    • 验证码

    走进润海   |   产品中心   |   合作共赢   |   免责声明   |   隐私条款   |   药品不良反应

    销售中心:湖北省武汉市江汉区金墩路特1号武汉天街6栋12楼        生产中心:云南省昆明市高新技术产业开发区民办园6号地    云南省玉溪市易门县易门工业园区六街片区

    电话:027-85378766

    传真:027-85621766(010-68672717-8012)

    版权所有:2019 @ 欧冠网址 网站建设:武汉网户

    药品不良反应

    ×
    • * 患者姓名

      患者年龄

      患者性别

    • 患者出生日期

      联系方式

    • * 报告者姓名

      联系方式

    • 报告药物使用后发生的可疑不良反应非常重要,希望您能留下联系方式(电话/邮箱),药品安全离不开您的参与,感谢您的配合!

    • * 服用药品名称

      服用药品批号

      是否合并用药

    • 药品生产厂家

    • * 不良反应

    • 不良反应过程描述(包括不良反应发生时间、临床表现、联合用药信息等)

    • * 验证码

    •  

    云南润海植物

    微店